
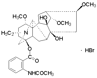
Структурная формула
Брутто-формула: C32H44N2O8.HBr
Чистота: >=95%
Химическое название:
4-(N-Ацетилантраноилокси)-8,9-дигидрокси-1альфа,14альфа,16бета-триметокси-N-этил-18-нораконана
гидробромид
Молекулярная масса: 665.61 г/моль
Латинское название: Lappaconitini hydrobromidum
Код CAS: 97792-45-5
Фармакологическая группа вещества Лаппаконитина гидробромид: Антиаритмические
средства.
Показания к применению
• Наджелудочковая тахикардия
• Желудочковая тахикардия
• Фибрилляция и трепетание предсердий
• Преждевременная деполяризация предсердий
• Преждевременная деполяризация желудочков
Фармакологические свойства: Фармакологическое действие - антиаритмическое.
Оказывает мембраностабилизирующее действие, влияет на натриевые каналы, относится к классу
IC антиаритмических препаратов. Вызывает замедление предсердно-желудочковой и
внутрижелудочковой проводимости, укорачивает эффективный и функциональный рефрактерные
периоды в предсердиях и желудочках, не влияет на продолжительность интервала QT,
проводимость по AV узлу в антероградном направлении, ЧСС и АД, сократимость миокарда (при
отсутствии явлений сердечной недостаточности). Оказывает умеренное спазмолитическое,
коронарорасширяющее, холинолитическое и седативное действие.
Биодоступность составляет 39% — подвергается интенсивной пресистемной биотрансформации. При
в/в введении и приеме внутрь Т1/2 — 1–1,2 ч, объем распределения — 42 и 690 л
соответственно. Проникает через ГЭБ. Один из трех основных метаболитов понижает АД. При
приеме внутрь эффект развивается через 40–60 мин, достигает максимума через 4–5 ч и
продолжается 8 ч и более. В условиях в/в введения антиаритмическое действие проявляется
через 15–20 мин и длится 6–8 ч (с максимумом через 2 ч). Удлинение Т1/2 отмечено при
длительном применении, почечной недостаточности (в 2–3 раза), циррозе печени (в 3–10 раз).
Республика Узбекистан, г.Ташкент, Юнусабадский район, квартал 19, здание 4/5.
info@vivafito.uz
+998 90 3586335
+998 97 1568884