
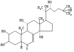
Структурная формула
Брутто-формула: C27H44O8
Чистота: >=10%
Химическое название: 2β, 3β, 14α ,20R, 22R, 25 -hexa-dihydroxy-5β
-cholesten-7-OH-6
Молекулярная масса: 496.63г/моль
Латинское название: Turkesterone
Код CAS: 41451-87-0
Показания к применению
У взрослых в качестве тонизирующего средства: астенодепрессивный синдром (связанный с
ослаблением белоксинтезирующих процессов: при длительных интоксикациях, инфекциях),
неврастения. В составе комбинированной терапии - артериальная гипотензия, интенсивные
тренировки (дисфункция ССС, особенно с выраженными признаками перенапряжения миокарда и
усилением белкового катаболизма), в качестве ЛС, повышающего скоростно-силовые качества в
период подготовки к соревнованиям.
Фармакологические свойства
Туркестерон обладает тонизирующими и адаптогенными свойствами. Также заявляется
анаболический эффект. Туркестерон проявляет тонизирующее действие, стимулирует
работоспособность, предохраняет от негативного воздействия различных стрессорных факторов.
Под действием Туркестерон усиливается биосинтез белка в организме, особенно в мышечной
ткани, стимулируется эритропоэз и иммуногенез.
Туркестерон вызывает благоприятные сдвиги в углеводном, липидном, и электролизном обменах,
улучшает настроение, психическое и физическое состояние, повышает функциональные возможности
организма.
Туркестерон корригирует нарушенный метаболизм в органах и в тканях при различных
патологических состояниях (миокардистрофия, токсические поражения печени и почек, анемия,
деструктивные изменения слизистой желудка и наружных кожных покровов, переломы костей) и
способствует восстановлению их функций, задерживает преждевременное старение организма.
Туркестерон нетоксичен, то есть его LD50>5000 мг/кг. Длительное введение туркестерона
показало отсутствие каких-либо токсических эффектов как со стороны крови и мочи, так и со
стороны патоморфологии различных органов и тканей. Особый интерес это соединение вызывает
своей анаболической активностью в организме. Так, прежде всего обращало на себя внимание
увеличение прироста мышечной массы тела. Наряду с уже описанными проявлениями
белково-анаболического эффекта, следует отметить и повышение под действием туркестерона
общего содержания белка в сыворотке крови, преимущественно за счет альбумина.
Туркестерон не проявляет андрогенного действия, что характерно для всех стероидных
анаболических препаратов, следовательно Туркестерон имеет перспективу использования в
качестве анаболического средства у женщин и детей.
Туркестерон, по данным отдельных диссертаций середины 1990-х не является допингом и может
применяться в спортивно-медицинской практике без каких-либо ограничений с точки зрения
антидопингового контроля. Туркестерон рекомендован к широкому использованию, индивидуально
или в виде комплексных препаратов в клинической и спортивно-медицинской практике.
Республика Узбекистан, г.Ташкент, Юнусабадский район, квартал 19, здание 4/5.
info@vivafito.uz
+998 90 3586335
+998 97 1568884